红黑树添加新节点转换疑惑
向一个三节点添加一个元素,且元素大于三节点中任意一个元素

那么换成2-3树,对应的添加过程为

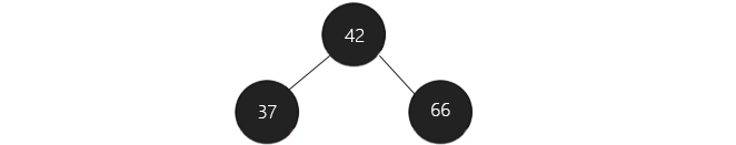
此时2-3树并没有三节点,就没有红色节点,然后将2-3树转换成红黑树,不应该是这样吗老师,但是您的图37和66都是红色的,就很疑惑
14
收起
正在回答
1回答
我不确定我是不是正确理解了你的问题。
37 和 66 都是红色,只是算法的中间步骤,算法还没有结束。之后依靠 flipColors,红节点向上转移。请参考后两页 ppt。

如果最终 42 是整棵树的根节点,42 会在最后转为黑色。因为根节点永远是黑色的。参考我们写的代码第 95 行:https://git.imooc.com/class-104/Play-Algorithms-and-Data-Structures/src/master/26-Red-Black-Tree/07-Adding-Elements-in-Red-Black-Tree/src/RBTree.java
所以,是的,如果这棵树就这三个节点,最终和他们都是黑色的。
你可以尝试一下,用这个例子,使用我们自己写的代码,用单步跟踪的方式观察一下,每添加一个节点,各个节点的 color 是怎么变化的?再理解一遍这个过程。
继续加油!:)
恭喜解决一个难题,获得1积分~
来为老师/同学的回答评分吧
0 星