练习:
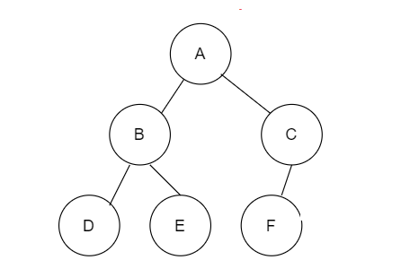
写出下列图形层次遍历的代码。(答题区只需要提出贴出遍历的函数和运行结果即可)

解题思路:
二叉树的层次遍历:是指从二叉树的根结点开始,从上到下逐层遍历。在同一层中
按照从左到右的顺序对每一个结点进行访问。在进行层次遍历
的时候,当前层结点访问完成后,在依次对左孩子和右孩子进行一层
层访问,先遇到的结点先输出。这个和我们队列的思想(先进先出)比较符合。
因此,二叉树的层次遍历可以设置队列来操作。
二叉树层次遍历的操作:
1.先创建队列
2.层次遍历
(1)先把根结点入队
(2)当队列不为空的时候,循环出队,然后判断左孩子和右孩子是否存在,存在则入队.
当队列为空的时候,退出循环。
伪代码:
LinkQueue *q = creat_empyt_linkqueue();
enter_linqueue(root);
while(!is_emtpy_linkquue(q))
{
temp = delte_linkqueu()
printf("%c",temp->data)
if(temp->lchild != NULL)
{
enter_linkqueue(q,temp->lchlid);
}
if(temp->rchild != NULL)
{
enter_linkqueue(q,temp->rchlid);
}
}